L'EVOLUZIONE DELLE STELLE

 

 
 
 
 
 
 
 
 
 
 
 
 
 

Dopo la sua formazione, la stella diventa stabile quando incomincia a produrre energia attraverso la fusione nucleare. Si stabilisce un equilibrio idrostatico al suo interno (cioè la pressione degli strati esterni uguaglia quella della radiazione prodotta all'interno) e un bilancio energetico (l'energia prodotta uguaglia quella irradiata). Affinchè la stella raggiunga una temperatura centrale di 10 milioni di gradi, quella necessaria per la fusione del'idrogeno in elio, sono necessarie alcune decine di milioni di anni.

Le reazioni termonucleari che avvengono all'interno delle stelle consistono nella fusione di due o più nuclei atomici in un nucleo più pesante. La massa del nucleo risultante è leggermente inferiore alla somma delle masse dei nuclei di partenza. La differenza di massa M è quella che viene trasformata in energia (E), secondo la nota legge di Einstein

E = M c 2

dove c è la velocità della luce. La fusione di due nuclei atomici, che essendo costituiti da protoni e neutroni possiedono una carica elettrica positiva, è ostacolata dalla reciproca repulsione elettrostatica. Pertanto, è necessario che il gas abbia altissime pressioni e temperature, cioè una grande energia cinetica, per poter vincere la repulsione dei nuclei e riuscire a fonderli. Più grandi sono i nuclei atomici e maggiore è la repulsione elettrica, quindi la temperatura necessaria alla fusione.

Tutte le stelle iniziano la propria vita bruciando idrogeno nel nucleo e trasformandolo in elio, ma la loro evoluzione successiva dipende dalla loro massa iniziale, quella che possiedono al momento della nascita.

La prima differenza riguarda la durata della loro vita. La luminosità
di una stella dipende dalla sua massa: più precisamente, è proporzionale al quadrato della massa per le stelle della bassa sequenza principale, alla terza o quarta potenza della massa per le più massicce. La massa di una stella determina anche la quantità di combustibile a disposizione per le reazioni di fusione nucleare: la luminosità è una misura del ritmo con il quale questa materia viene consumata. Perciò il tempo di vita di una stella, cioè il tempo necessario affinchè essa consumi tutto il combustibile a sua disposizione, è circa pari al rapporto tra la sua massa e la sua luminosità. Siccome la luminosità aumenta più rapidamente della massa, questo rapporto è tanto più piccolo quanto più massiccia è la stella. Le stelle più calde, massicce e luminose, quelle che popolano la parte alta della sequenza principale, sono dunque quelle che vivono meno a lungo. Le più grandi bruciano idrogeno nel nucleo solo per pochi milioni di anni, mentre le stelle più piccole della sequenza possono farlo anche per 100 miliardi di anni. Il nostro Sole, che è una stella abbastanza piccola, ha un tempo di vita in sequenza principale di circa 10 miliardi di anni, cinque dei quali sono già trascorsi.

Inoltre, più grande è la massa della stella, maggiore è la temperatura centrale che questa è in grado di raggiungere contraendosi. La fusione dei nuclei atomici richiede una temperatura tanto maggiore quanto più essi sono pesanti, quindi solo nelle stelle più massicce possono essere sintetizzati gli elementi pesanti. Infine, maggiore è la temperatura e più rapido è il processo di fusione.
Via via che una stella esaurisce un combustibile e incomincia la fusione di un elemento più pesante, il processo accelera sempre di più.
 

Un altro fattore che interviene nell'evoluzione delle stelle è lo stato fisico del gas al suo interno; in condizioni di densità relativamente basse, il gas di ioni ed elettroni si trova in uno stato fisico normale. Se la densità aumenta oltre un certo limite, invece, il gas diventa degenere. Nel primo caso, il gas possiede un meccanismo di regolazione termostatica, nel senso che la sua pressione è proporzionale alla sua temperatura. Il gas reagisce ad un aumento di temperatura aumentando la pressione; questo produce un'espansione e un raffreddamento. In questo modo pressione e temperatura sono sempre autoregolate, e l'aumento di temperatura non provoca l'accumulo di energia all'interno del gas.
In un gas degenere, invece, la pressione non dipende più dalla temperatura. Se la temperatura del gas aumenta, esso non si espande e l'energia accumulata non può venire dissipata. Oltre un certo limite, questo accumulo di energia rende instabile la stella e ne provoca l'esplosione.
 

Durante la fusione dell'idrogeno in elio, la stella possiede una temperatura, una luminosità ed un colore ben definiti; ad essi corrisponde una posizione sul diagramma H-R. Tutte le stelle che si trovano nella fase di fusione dell'idrogeno, che è la fase di maggior durata dell'intera vita stellare, hanno nel diagramma H-R una posizione compresa entro la fascia della sequenza principale. La massa della stella determina la posizione del suo punto rappresentativo sulla sequenza: tanto maggiore è la massa, tanto maggiori sono la sua temperatura e luminosità nella fase di bruciamento dell'idrogeno, e viceversa.
 
 















La stella rimane stabile per tutta la durata di questa fase, che può variare, secondo la sua massa, da pochi milioni a svariati miliardi di anni. Quando l'idrogeno sta per essere esaurito nel nucleo, l'equilibrio idrostatico che si era stabilito viene a mancare, perchè l'energia prodotta dalla fusione non è sufficiente a controbilanciare la pressione degli strati esterni della stella. Di conseguenza, il nucleo incomincia a contrarsi e a riscaldarsi, in modo da accelerare la fusione dell'idrogeno restante e dare il via alla fusione di elio in carbonio. Questo produce un sovrariscaldamento della stella, che deve contemporaneamente espandere gli strati più esterni per dissipare l'energia in eccesso. La temperatura superficiale della stella diminuisce, e di conseguenza il suo colore si fa via via più rosso, mentre la luminosità complessiva aumenta, dato che la superficie emittente è aumentata con l'espansione. La stella diventa cioè una gigante rossa, una stella più fredda e più luminosa rispetto alle stelle di sequenza principale. Il suo punto rappresentativo sul diagramma H-R si sposta verso l'alto e verso destra, risalendo quello che viene detto il "ramo delle giganti rosse". Contemporaneamente, la stella comincia a perdere massa, attraverso l'espulsione di parte dei suoi strati più esterni. La massa perduta alla fine di questa fase può essere anche una frazione significativa della massa iniziale della stella.
Quando la temperatura centrale della stella ha raggiunto i 100 milioni di gradi, i nuclei di elio incominciano a fondersi a tre per volta per formare un nucleo di carbonio. La stella si sposta dalla regione delle giganti rosse ancora verso la sequenza.
Se la stella ha una massa inferiore a circa due volte la massa del Sole, la sua evoluzione attiva termina qui. Le stelle più piccole, infatti, sono più compatte di quelle grandi e, nel loro nucleo, il gas è così denso da raggiungere lo stato degenere: in queste condizioni, non è possibile un'ulteriore contrazione del nucleo, e la stella non può innescare la fusione del carbonio prodotto. Quando l'elio sta per esaurirsi, il nucleo si contrae e gli strati esterni si espandono, per la minore produzione di energia all'interno; nel diagramma H-R, il suo punto rappresentativo risale verso il ramo delle giganti rosse. A questo punto, la stella diventa instabile e gli strati più esterni incominciano a pulsare, fino a quando non vengono espulsi in direzione radiale, lasciando scoperto il nucleo caldo e denso della stella: una nana bianca. L'insieme della stella centrale e della nube di gas espulso prende il nome di nebulosa planetaria.
Le stelle più massicce ripetono più volte il ciclo di contrazione ed espansione, innescando ogni volta la fusione di un elemento più pesante all'esaurirsi del combustibile precedente, mentre il loro nucleo si riscalda sempre più. A 800 milioni di gradi incomincia la fusione dei nuclei di carbonio, che dà origine ad elementi come l'ossigeno, il magnesio, il neon. A temperature di 1,4 miliardi di gradi i nuclei di ossigeno si fondono, formando silicio, zolfo, fosforo, e così via.
La catena dei bruciamenti nucleari si interrompe quando il gas nel nucleo della stella, che ad ogni contrazione è rimasto sempre più denso e compatto, diventa degenere. A questo punto, la fusione del successivo combustibile nucleare rilascia nel gas degenere una grande quantità di energia, che provoca l'esplosione della stella come supernova. Il gas arricchito di elementi pesanti viene restituito al mezzo interstellare: l'esplosione delle supernovae rappresenta il principale meccanismo di arricchimento chimico delle galassie. Gli strati esterni della stella vengono espulsi nello spazio, mentre il suo nucleo collassa sotto la propria spinta gravitazionale, formando un oggetto estremamente denso e compatto.
Solo le stelle con massa superiore a 12-13 volte quella del Sole percorrono tutto il ciclo dei bruciamenti nucleari, arrivando a sintetizzare il ferro, dopodichè la catena si interrompe: la fusione del ferro in elementi più pesanti è infatti endoenergetica, cioè, invece di liberare energia, ne assorbe.
Il ferro sintetizzato nel nucleo della stella subisce quindi un'instabilità: i nuclei di ferro si frantumano e, sotto l'enorme pressione alla quale sono sottoposti dagli strati di gas sovrastanti, collassano su se stessi. Il nucleo si contrae, alla ricerca di una nuova configurazione di equilibrio idrostatico. Gli strati esterni cadono sul nucleo a grande velocità, urtando contro la sua superficie. L'onda d'urto che si forma riscalda il gas fino a temperature altissime; in queste condizioni si innescano immediatamente bruciamenti nucleari molto rapidi, che depositano una grande quantità di energia negli strati di gas, facendo esplodere la stella come supernova.

La sorte del nucleo, a questo punto, dipende dalla sua massa: se è inferiore ad un certo limite critico (qualche volta la massa del Sole), i nuclei si fondono con gli elettroni, formando un "mare" compatto e densissimo di neutroni. Ciò che rimane della stella si assesta in una configurazione di equilibrio, una stella di neutroni.
Se invece la massa del nucleo è superiore a quel limite, nulla può fermare il suo collasso, che diventa irreversibile; mentre il nucleo si contrae, a massa costante, la forza di gravità in superficie aumenta. In accordo con la teoria della Relatività Generale, lo spazio intorno alla stella si deforma, incurvandosi e modificando le traiettorie dei corpi che vi passano vicino. La stella scompare, perchè perfino la luce resta intrappolata all'interno del suo enerome campo gravitazionale: si è formato un buco nero.
 

Le giganti rosse
 

Le giganti e le supergiganti rosse sono tra gli astri più brillanti del cielo. Esse sono formate dall'inviluppo espanso e rarefatto di stelle evolute, che circonda un nucleo caldo e compatto. Pur avendo masse abbastanza modeste, le più grandi giganti rosse hanno raggi centinaia di volte maggiori di quello del Sole. Le loro atmosfere si estendono per milioni di kilometri, con densità inferiori a 10-5 grammi per cm3. Si pensi che, quando il Sole diventerà una gigante rossa, i suoi strati esterni si espanderanno fino oltre l'orbita di Marte, inghiottendo i pianeti più interni, tra cui la Terra.
Le temperature superficiali delle giganti rosse si aggirano sui 3.000 gradi, perciò i loro spettri sono dei tipi K e M. Tra le giganti rosse più note, ricordiamo per esempio Antares nella costellazione dello Scorpione, e Betelgeuse in Orione.
Questi astri perdono continuamente gas, che viene soffiato via sotto forma di vento stellare; questa perdita di materia è decisiva per la stella in quanto, come abbiamo visto, la massa determina il tipo di evoluzione a cui essa va incontro.
 
La prima immagine diretta dell'atmosfera di una stella che non sia il Sole, la stella più luminosa della costellazione di Orione, Betelgeuse. Si tratta di una supergigante rossa. L'immagine rivela una macchia più calda e luminosa del resto della superficie, grande dieci volte la Terra e di origine ancora ignota. (HST)

 

Le nebulose planetarie
 

Questo tipo di nebulosa è costituito da una stella centrale caldissima, compatta e di piccole dimensioni, al centro di un disco o un anello gassoso luminoso. Il sistema ha dimensioni relativamente ridotte, in genere inferiori ad un anno luce. Le prime nebulose planetarie osservate furono perciò paragonate al pianeta Saturno e ai suoi anelli, e a questo devono il loro nome. La stella che si trova al centro di una nebulosa planetaria è il residuo di una stella di piccola massa, nelle ultime fasi della sua evoluzione. Essa possiede temperature altissime, tra i 30mila e i 150mila gradi, ed emette prevalentemente nella regione ultravioletta dello spettro; è anche piuttosto piccola e compatta, con dimensioni inferiori ad un quinto del raggio del Sole.
Si pensa che le nebulose planetarie abbiano origine dalle stelle supergiganti rosse, le quali espellono gli strati più esterni, composti di idrogeno ed elio, "spazzandoli via" nello spazio. Questo gas forma così un guscio sferico che si espande sempre più lentamente. Esso viene ionizzato dalla radiazione della stella centrale: quando gli elettroni si ricombinano con gli ioni, il gas emette radiazione.
Col tempo, la nebulosa si disperde nello spazio: la durata dell'intero processo è probabilmente inferiore ai 100.000 anni. Anche questo è un meccanismo attraverso il quale le stelle restituiscono al mezzo interstellare parte del gas da cui si sono formate, arricchito di elementi pesanti.
 
 
NGC 6543, detta anche nebulosa "Occhio di gatto", è una delle più complesse nebulose planetarie mai osservate. Vi si distinguono getti di gas ad alta velocità, strati concentrici di gas e i residui di onde d'urto. L'età stimata di questa nebulosa è di circa 1000 anni. 
(HST)

Tuttavia, non sempre le nebulose planetarie mostrano la ben nota simmetria sferica della famosa nebulosa M57, nella costellazione della Lira, visibile di seguito.
 
 

La nebulosa planetaria M57 nella
costellazione della Lira. (SEDS)



 
 
 
 
 
 
 
 
 
 
 
 
 
La nebulosa qui mostrata è nota come Mz3, o nebulosa della formica, e nonostante che si sia formata da una stella molto simile al Sole mostra un'evidente asimmetria non prevista dalle teorie (R. Sahai  et al., Hubble Heritage Team, ESA, NASA).

Gli astronomi che hanno studiato questo oggetto peculiare hanno proposto due possibili spiegazioni: la prima prevede la possibile presenza di una stella molto più debole e non ancora nota che orbiti intorno alla prima e che perturbi il gas emesso dalla stella principale. La seconda fa riferimento alla possibilità che la stella generante la nebulosa ospiti un intenso campo magnetico che accoppiato alla sua rotazione potrebbe creare configurazioni come quelle mostrate in figura.
 
 

Le nane bianche
 

Le nane bianche rappresentano lo stadio finale della vita di stelle di piccola massa. Il prototipo di questo tipo di stelle è Sirio B, la compagna della più nota stella Sirio, con la quale forma un sistema binario. Durante e dopo la fase di gigante rossa, come abbiamo visto, la stella si spoglia dei suoi strati esterni e la parte restante va incontro ad un rapido collasso. Se la massa rimanente, quella del nucleo stellare, è inferiore ad un certo limite critico, pari a 1.44 volte la massa del Sole, il collasso ad un certo punto si arresta e la stella trova una configurazione di equilibrio stabile, diventando una nana bianca.
Tanto maggiore è la massa della stella, tanto minore è il raggio finale della nana bianca. Questo tipo di stella è molto piccola, densa e compatta, in rapida rotazione. Essa deve il suo nome al fatto che ha un raggio molto minore di una stella normale, ed essendo caldissima, emette luce a lunghezze d'onda più corte, cioè bianca, come le stelle dei primi tipi spettrali. Una nana bianca ha una massa confrontabile con quella del Sole e dimensioni di un pianeta come la Terra. Il gas della nana bianca è completamente degenere, ad eccezione di uno straterello superficiale di materia che si trova allo stato fisico ordinario, prevalentemente idrogeno ed elio. La degenerazione di un gas (di elettroni, di neutroni o di ioni) si instaura quando esso viene compresso fino oltre una certa densità critica. In un gas degenere, nello spazio normalmente occupato da un solo atomo si trovano centinaia di migliaia di particelle. In una nana bianca, la materia è compressa fino a densità di 106 - 107 grammi per cm3: a queste densità, una quantità di materia delle dimensioni di una zolletta di zucchero peserebbe più di un'automobile qui sulla Terra! Pur essendo così compressa, la materia al suo interno si trova però allo stato gassoso, contrariamente a quanto avverrebbe per la materia normale, che ad alte pressioni solidifica.
Un gas degenere è estremamente resistente ad un'ulteriore compressione, perchè esercita esso stesso una fortissima pressione: è questa pressione che sostiene la nana bianca. La stella non può più contrarsi ed innescare la fusione nucleare al suo interno: una nana bianca perciò è una stella "morta", destinata a splendere a spese della sua energia interna, senza poterne produrre di nuova. D'altra parte, la temperatura iniziale di una nana bianca può raggiungere i 100.000 gradi ed il suo raffreddamento, fino a temperature prossime allo zero, richiede svariati miliardi di anni; tenendo conto che l'età dell'universo è di 15-20 miliardi di anni, è probabile che nessuna nana bianca sia ancora giunta alla sua "morte termica".
Se in un sistema binario una delle due stelle è una nana bianca, può verificarsi il fenomeno della nova.
 
 
A sinistra, un'immagine dell'ammasso globulare M4, che contiene più di 100.000 stelle, tra cui molte giganti rosse. A destra, l'immagine di una parte dell'ammasso, nella quale sono evidenziate 8 nane bianche. Il telescopio Spaziale Hubble ne ha rivelate 75 in una piccola regione di spazio. 
(HST)

 
 
 

Le novae
 

Fin dall'antichità sono state segnalate apparizioni di stelle "nuove", cioè apparizioni di stelle mai viste in precedenza. Queste stelle restavano brillanti per qualche settimana o pochi mesi, per poi affievolirsi e scomparire di nuovo. Da questo deriva il nome di "novae", cioè stelle nuove. Oggi sappiamo che questo fenomeno non è dovuto alla comparsa di nuove stelle, bensì all'esplosione di stelle già esistenti e non visibili, che le rende improvvisamente più brillanti e permette di rivelarle. L'esplosione, che è meno violenta di quella di una supernova e non distrugge completamente la stella, è dovuta ad un meccanismo legato alla sua evoluzione.
Le novae, nel loro stato normale, sono stelle compatte non molto brillanti e ad alta temperatura (tipicamente nane bianche), che fanno parte di sistemi binari; la compagna è una stella evoluta ed espansa, come una gigante rossa, dalla quale fluisce in continuazione materia gassosa. Il gas perso si raccoglie in un disco di accrescimento attorno alla stella compatta, cadendovi sopra lentamente. La caduta di materia sulla nana bianca continua finchè questa non raggiunge una massa limite; a questo punto produce nella stella una reazione di tipo esplosivo, che la libera di parte della materia che aveva guadagnato.
La luminosità della stella cresce anche di 11-12 magnitudini, passando da un valore tipico intorno a +4 o +5 fino a circa -7.5 al massimo dello splendore. Nell'esplosione gli strati esterni della stella, che possiedono temperature di 10-15.000 gradi, vengono espulsi con velocità fino a 3.000 Km/s. Allontanandosi dalla stella, il gas espulso diventa meno denso, rallenta e si raffredda, formando una piccola nebulosa.
Tipicamente, una nova emette nell'esplosione tanta energia quanta il Sole ne emette in 100.000 anni. La massa espulsa, invece, è una piccola frazione della massa totale della stella, all'incirca un centomillesimo. Dopo qualche anno la stella che ha subito l'esplosione ritorna più o meno quella di prima.
Il fenomeno delle novae può ripetersi, quando si ripresentino le condizioni appropriate. In questo caso si parla di "novae ricorrenti". Non tutte le novae si comportano però allo stesso modo; alcune salgono improvvisamente al massimo di luminosità, raggiunto il quale si affievoliscono nel giro di pochi mesi; in altri casi la stella impiega più tempo a raggiungere il culmine dello splendore, subisce esplosioni multiple che si susseguono nel tempo ed impiega anni per tornare al minimo di luminosità.
 
Questa immagine illustra il meccanismo che sta alla base del fenomeno delle variabili cataclismiche. In un sistema binario di stelle ravvicinate, composto da una nana bianca e da una stella normale di piccola massa, il gas della stella normale fluisce verso la nana bianca formando un disco di accrescimento, e cade sulla sua superficie. L'idrogeno si accumula su essa e si riscalda finchè non si innesca la fusione nucleare, che produce il fenomeno esplosivo della "nova" (HST).

 
La Nova Cygni (cioè nella costellazione del Cigno), esplosa il 19 febbraio del 1992. A destra, l'immagine del Telescopio Spaziale Hubble che rivela una struttura ellittica ad anello, molto sottile, ciò che resta del gas emesso durante l'esplosione. Un'immagine del 31 maggio 1993 (a sinistra) ha fornito le prime informazioni sull'anello e su una strana struttura a forma di barra, non risolta (HST).

 

Le supernovae
 

Quando una stella esplode come supernova, avviene uno dei fenomeni più spettacolari che il cielo possa offrire. L'esplosione avviene quando il nucleo di una stella abbastanza massiccia collassa, al termine della sequenza dei bruciamenti nucleari. Gli strati esterni cadono sul nucleo riscaldandosi, e di colpo si innescano delle reazioni di fusione termonucelare. Esse producono una grandissima quantità di energia, che si deposita nel gas sotto forma di energia cinetica: gli strati vengono espulsi a grandissime velocità (decine di migliaia di chilometri al secondo), in un'esplosione immane. L'energia sviluppata da una supernova è tale che per qualche settimana essa emette, da sola, la quantità di luce emessa da un'intera galassia! La luce emessa dalla supernova si affievolisce e scompare nel giro di qualche anno, lasciando una nube di gas in espansione rallentata. I resti di supernova, cioè il gas espulso nell'esplosione, compongono alcune delle più belle nebulose che conosciamo.
Al centro della supernova resta un buco nero oppure una stella di neutroni. L'esplosione libera nello spazio interstellare gas ad altissima temperatura, fortemente ionizzato, raggi cosmici; gli elettroni liberi e gli ioni portano con sè un intenso campo magnetico. Se attorno alla supernova c'è del gas interstellare, il materiale espulso lo comprime e viene rallentato a sua volta; il gas interstellare viene riscaldato ed emette radiazione. Il gas in espansione assume via via una struttura a filemanti e a strati sottili, sfilacciati. Il resto di supernova emette radiazioni di vario tipo: ottiche, radio, infrarosse, ma anche X e gamma. Anche quando esso si è raffreddato, emette radiazione di sincrotrone, causata da un rapido moto degli elettroni liberi attorno alle linee del campo magnetico del gas. L'emissione X viene invece prodotta nell'interazione degli ioni e degli elettroni col gas interstellare.
Dato che le stelle di grande massa sono solo una piccola frazione del totale, l'esplosione di una supernova è un evento piuttosto raro: si stima che nella nostra Galassia esplodano in media 3 supernovae al secolo. Le ultime due supernovae esplose nella nostra Galassia sono quella del 1572, nella costellazione di Cassiopeia, e quella del 1604 in Ofiuco. Le supernovae sono ben visibili tuttavia anche in galassie esterne, anzi rappresentano uno dei migliori modi per stimarne la distanza.
Alcune supernovae sono entrate nella storia dell'astronomia. Molto nota è quella esplosa nel 1054, che fu osservata dagli antichi astronomi della Cina e che fu così luminosa da essere visibile per un pò di tempo anche durante il giorno. Il residuo di quella supernova costituisce oggi la Nebulosa del Granchio, detta cosi per la sua struttura tentacolare.
Un altro resto di supernova è quello noto come Cygnus Loop (anello del Cigno, nell'omonima costellazione), residuo di una stella esplosa circa 50.000 anni fa, che ancora emette uno spettro a righe di emissione. Il ruolo delle supernovae nell'evoluzione delle galassie è fondamentale, non soltanto perchè esse arricchiscono il gas interstellare di elementi pesanti, ma anche perchè, attraverso una compressione dello stesso gas, inducono la formazione di nubi dense e quindi di nuove stelle.
 
NGC 1952, più nota come Nebulosa del Granchio, è il residuo dell'esplosione di una supernova avvenuta nel 1054. Questo evento fu osservato dagli antichi astronomi cinesi. Al centro della nebulosa, che si trova a circa 6.000 anni luce da noi, c'è una pulsar, che ruota con un periodo di 1/30 di secondo.
(Cortesia Bill Arnett)

 
La Nebulosa della Vela, nella costellazione del Cigno, è il residuo di una supernova esplosa all'incirca 15.000 anni fa. In quest'immagine ne viene mostrata soltanto una parte.
(Royal Observatory, Edinburgo)

 
L'evoluzione del resto della supernova 1987A dal febbraio 1994 al febbraio 1996. I resti della supernova, esplosa nella Grande Nube di Magellano nel febbraio del 1987, si stanno espandendo con una velocità di più di 10 milioni di chilometri all'ora! Dieci anni dopo l'esplosione, il resto di supernova è abbastanza grande da poter essere risolto dal Telescopio Spaziale Hubble; la supernova dista 167mila anni luce dalla Terra, nella Grande Nube di Magellano. La sua esplosione ha rappresentato un'importante occasione per mettere alla prova le teorie dell'evoluzione stellare. (HST)

 
L'immagine mostra la supernova 1994I nella galassia M51, a 20 milioni di anni luce da noi. La freccia indica la posizione della supernova, a circa 2000 anni luce dal nucleo. (HST).

 
SN 1994D in NGC 4526. La supernova, indicata dalla freccia, è apparsa in prossimità di una "dust lane" (zona altamente assorbita dalla polvere) della galassia progenitrice 
(Patat et al. 1994) 

 
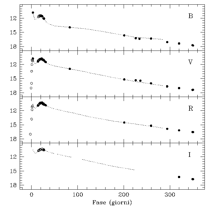
Curva di luce di SN 1994D nelle bande UBVRI (ultravioletta, blu, visibile, rossa e infrarossa). I tratteggi rappresentano le curve di luce della SN 1992A. Notevole è la somiglianza fra questi due oggetti.
(Patat et al. 1994)

 
Curva di luce della SN 1993J in M81nelle bande BVRI 
(Barbon et al. 1995).

 
 
 

Le stelle di neutroni
 

Questi insoliti astri si formano durante le fasi finali dell'evoluzione di una stella con massa del nucleo compresa tra 1.44 e circa 3 volte la massa del Sole. Dopo aver esaurito la catena dei bruciamenti nucleari, la stella si contrae bruscamente, sotto la propria spinta gravitazionale, mentre gli strati esterni si espandono. La stella subisce un collasso così violento da non riuscire a riassumere la configurazione di equilibrio di nana bianca, come le stelle più piccole. Essa raggiungerà l'equilibrio in uno stato ancora più estremo, diventando una stella di neutroni. Il collasso prosegue infatti finchè gli stessi nuclei atomici si frantumano e i protoni si fondono con gli elettroni, formando un "mare" di neutroni degeneri ad altissima densità (1013 - 1014 grammi per cm3). La pressione dei neutroni degeneri sostiene la stella, impedendone un'ulteriore collasso.
Si sa ancora poco sulla struttura interna e sullo stato fisico di una stella di questo tipo, tranne che possiede un campo gravitazionale ed un campo magnetico estremamente intensi. Inoltre, una stella di neutroni dev'essere in rapidissima rotazione su se stessa, proprio a causa della propria contrazione: come una pattinatrice sul ghiaccio si mette a ruotare più rapidamente quando raccoglie le braccia al corpo e viceversa rallenta quando le estende, così una stella o una nube di gas si mettono in rotazione attorno al proprio asse durante una contrazione.
Una massa confrontabile con quella del Sole si è ridotta alle dimensioni di un grosso asteroide: le dimensioni tipiche di una stella di neutroni sono infatti di circa 30 Km di diametro! A quelle densità, una quantità di materia grande quanto una zolletta di zucchero avrebbe una massa pari a quella di tutta l'umanità...
Le stelle di neutroni non emettono luce come le stelle, perciò non sono "visibili" nel senso stretto del termine. Tuttavia ne sono state individuate diverse sulla base di evidenze indirette: esse danno luogo infatti al fenomeno delle pulsar. Nel 1967, i radioastronomi si accorsero di alcune strane sorgenti, delle specie di "radiofari" che emettevano impulsi radio ad intervalli regolari e molto brevi, dell'ordine delle frazioni di secondo. In seguito questo fenomeno venne spiegato come una stella di neutroni in rapida rotazione e dotata di una campo magnetico molto intenso: quest'ultimo creerebbe infatti un forte campo elettrico. Sottoposti a questo campo elettrico, gli ioni e soprattutto gli elettroni presenti vengono sospinti fuori dai poli magnetici della stella; spiraleggiando attorno alle linee del campo magnetico, gli elettroni vengono decelerati ed emettono radiazione di sincrotrone. Se l'asse magnetico della stella (che non necessariamente coincide con quello di rotazione) è inclinato rispetto a noi, ogni volta che un polo magnetico si trova nella direzione della nostra linea di vista, osserviamo un lampo di radiazione.
Le pulsar non emettono soltanto nella banda radio, ma anche nell'ottico, nell'ultravioletto, nelle bande X e gamma, con lo stesso periodo degli impulsi radio. Queste radiazioni vengono emesse a spese dell'energia della stella, la quale rallenta progressivamente la propria rotazione: il periodo passa da una frazione di secondo fino a qualche ora o giorno.
 

I buchi neri
 

Se la massa del nucleo della stella, al termine della sequenza dei bruciamenti nucleari, è superiore a circa 3 volte la massa del Sole, il collasso che esso subisce non può essere fermato nemmeno dalla pressione delle particelle che lo compongono: esso prosegue inarrestabile, dando origine ad un buco nero, una specie di mostro che inghiotte tutta la materia che si trova entro una certa distanza e dal quale niente può scappare. La forza di gravità, in questo caso, è così grande da comprimere le particelle fino ad una densità praticamente "infinita": la materia viene ridotta in uno stato fisico sconosciuto, ma sicuramente diverso da quello della materia che conosciamo.
L'esistenza dei buchi neri è prevista dalla Relatività Generale di Einstein. Nel collasso, la stella si "ripiega" su se stessa ed incurva lo spaziotempo circostante a causa della sua enorme gravità. La gravità superficiale di un buco nero è così alta che nemmeno la luce può sfuggirle, nemmeno la luce, perciò esso è completamente oscuro e non si può rivelarne uno in modo diretto.
Come per ogni stella o pianeta, anche per un buco nero si può definire la velocità di fuga ad una certa distanza D, cioè la minima velocità che un corpo dovrebbe avere per poter sfuggire all'attrazione gravitazionale che il buco nero esercita alla distanza D. Ragionando all'inverso, per una data velocità si può trovare la distanza minima alla quale l'oggetto può avvicinarsi al buco nero senza venirne catturato: se si pone questa velocità pari a quella della luce (la massima velocità possibile), si trova la distanza oltre la quale nemmeno la luce può sfuggire al buco nero. Questo limite prende il nome suggestivo di "orizzonte degli eventi" e delimita la regione interna, dalla quale nessun segnale può raggiungere l'esterno: di tutto ciò che avviene all'interno non possiamo avere notizie.
Non è possibile definire per un buco nero una vera e propria superficie: le proprietà che caratterizzano questo oggetto sono la sua massa ed il cosiddetto raggio di Schwarzschild (dal nome del fisico che studiò per primo i buchi neri dal punto di vista teorico), cioè la distanza dal centro all'orizzonte degli eventi. Tra queste due quantità intercorre la relazione

RS = 2GM/c2

dove RS è il raggio di Schwarzschild, G la costante di gravitazione universale, M la massa del buco nero e c la velocità della luce. Tanto maggiore è la massa di un buco nero, tanto maggior è il suo "raggio d'azione". Sostituendo i valori delle costanti, RS è pari a 3 (M/MS) Km, dove MS è la massa del Sole.
Fino a non molti anni fa non c'erano prove dell'esistenza effettiva dei buchi neri. Infatti, essi possono essere rivelati soltanto dagli effetti gravitazionali che esercitano sulla materia circostante. Per esempio, se una delle componenti di un sistema binario è un buco nero e l'altra una stella normale, la presenza del primo sarà rivelata dal moto orbitale della seconda attorno al centro di massa comune. Spesso, quando anch'essa evolve in gigante rossa e si espande, parte del gas dei suoi strati più esterni può formare un disco di accrescimento attono al buco nero. Dal disco, il gas cade lentamente sul buco nero; l'attrito cresce verso il bordo interno del disco, il gas si riscalda e produce un ampio spettro di radiazione, soprattutto nelle bande X e ultravioletta. Questa radiazione permette anch'essa di rivelare la presenza di un oggetto compatto con un disco di accrescimento.
Con il lancio dei primi satelliti dotati di rivelatori in raggi X, vennero scoperte dentro e fuori della nostra Galassia molte sorgenti X prima sconosciute (la nostra atmosfera, infatti, blocca la maggior parte dei raggi X provenienti dallo spazio). Esse emettono nella banda X più di quanto non emettano nell'ottico e il loro spettro è di tipo non termico, cioè non è del tipo emesso da una stella. Alcune di queste sorgenti X sono di natura "stellare", come Cygnus X-1, Scorpio X-1 o Hercules X-1; sembra che Cygnus X-1 sia un sistema binario del tipo prima descritto, con un buco nero con massa di circa 6 volte la massa del Sole ed una stella di 20 volte la massa del Sole. Altre sorgenti X sono pulsar, altre ancora coincidono con galassie o quasar.

Come abbiamo detto, il campo gravitazionale del buco nero è così forte da incurvare lo spaziotempo circostante; una delle conseguenze principali è che un raggio di luce che passa nelle vicinanze del buco nero, come di una grande concentrazione di massa, si incurva e cambia direzione; è ciò che sta alla base del fenomeno delle lenti gravitazionali. Se il raggio di luce passa alla distanza RS, viene incurvato così tanto da cominciare a girare in tondo attorno al buco nero! La presenza di un buco nero molto massiccio, interposto tra noi ed una sorgente di luce come una galassia distante, potrebbe quindi essere rivelata anche dall'effetto di lente gravitazionale sulla radiazione proveniente dalla sorgente.

Sembra che buchi neri supermassicci esistano o siano esistiti nei nuclei delle galassie attive e che l'accrescimento di materia su questi oggetti ne rappresenti il motore energetico centrale.
 
Nel nucleo della galassia NGC 4261 c'è un disco di polvere del diametro di 800 anni luce, e probabilmente un buco nero di massa pari a 1,2 miliardi di volte quella del Sole! 
In questa immagine è rappresentato lo scenario che si potrebbe osservare da un ipotetico pianeta posto nel disco di polvere, guardando verso il buco nero.
La luce bianca proveniente dal gas caldissimo che cade sul buco nero è arrossata a causa della polvere, che assorbe luce ad alte frequenze e la riemette a frequenze più basse.
Illustrazione di J. Gitlin (Space Telescope Science Institute)

 
Immagine del disco di polvere che circonda il buco nero al centro della galassia spirale NGC 4261. Misurando la velocità del gas che ruota attorno al buco nero, gli astronomi hanno potuto misurare il campo gravitazionale di quest'ultimo e la sua massa, che è pari a circa 1,2 miliardi di volte quella del Sole.
(HST)

 
 


 
 
 
 
 

ANIMAZIONI


 
Il ramo PPI della catena di fusione del protone, MPEG, 29 Kb (NASA)
Il ramo PPII della catena di fusione del protone, MPEG, 43 Kb (NASA)
Il ramo PPIII della catena di fusione del protone, MPEG, 50 Kb (NASA)
La supernova 1987A in un'animazione, QT, 2.6 Mb (NASA)
Interpretazione delle immagini della SN1987A, MPEG, 1.2 Mb (NASA)
Un probabile buco nero in M32, MPEG, 4,8 Mb (STScI)
Una raffigurazione pittorica di un buco nero in accrescimento, AVI, 2.0 Mb(STScI)
Un'altra raffigurazione di un buco nero al centro di una galassia, QT, 4.8 Mb(STScI)
La pulsar nella nebulosa del Granchio, MPEG, 576 Kb (STScI)
Avvicinamento ad un buco nero